Contoh soalan apel, contoh soalan pt3, contoh soalan sdea, contoh soalan ukcg, contoh soalan upkk, contoh soalan upsr 2018, contoh soalan sains spm, contoh soalan pt3 english, contoh soalan ayat aktif, contoh soalan spm sebenar, contoh soalan pt3 matematik, contoh soalan tata bahasa, contoh soalan soal selidik, contoh soalan tatabahasa spm, contoh soalan matematik upsr, contoh soalan ptd, contoh soalan upsr, contoh soalan sains, contoh soalan spa, contoh soalan spm, contoh soalan eq, contoh soalan sbp, contoh soalan sho, contoh soalan ask, contoh soalan pspm,
Azimat Matematik: Contoh Soalan Koleksi Matematik Yang Dijual via azimatmate.blogspot.com
Nota Cikgu Nas via nasdplijaip.wordpress.com
 
  Soalan Matematik Spm (dulu Dan Kini): Perimeter & Luas Bulatan via mohdhelmi628.blogspot.com
 
  Nota Matematik Tingkatan 3 Bab 8 : Solid Geometry Ii via cheguzam.blogspot.com
 
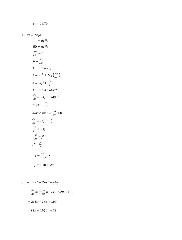
  Jawapan Math Calculas Asas via www.slideshare.net
 
  Contoh Laporan Kbt In House via www.slideshare.net
 
  Azimat Sekolah Rendah: Perimeter Kawasan Berlorek via azimatmate.blogspot.com
 
  Azimat Matematik: Menguasai Carta Atau Rajah. Soalan 3 Markah. via azimatmate.blogspot.com
 
  Azimat Matematik: Menukar Nombor Kepada Perkataan. via azimatmate.blogspot.com
1.jpg) 
  Azimat Matematik: Soalan Yang Perlu Diberi Perhatian Khusus via azimatmate.blogspot.com
 
  Azimat Sekolah Rendah: Matematik Tahun 3 : Masa Dan Waktu via azimatmate.blogspot.com
 
  Azimat Matematik: Matematik Tahun 3 : Aktiviti Masa Dan Waktu via azimatmate.blogspot.com
 
  Bbb Untuk Bentuk Dan Ruang via www.slideshare.net
 
  Random Image
 
 
 
 
 
 
 
 
 
